Our Publications
2026
-

Novel spodumene flotation collector development: A comparative review
Pacholczak, A.; Cook, B. K.; Baker, R. J.; Gibson, C. E. Miner. Eng. 2026, 242, 110200.
2024
-

Recent Progress in the Development of Electrode Materials for Electrochemical Carboxylation with CO2
Ton, T. N.; Baker, R. J.; Manthiram, K. J. Catal. 2024, 432, 115371.
2023
-

Discovery and Characterization of a Chemical Probe Targeting the Zinc-Finger Ubiquitin-Binding Domain of HDAC6
Harding, R. J.; Franzoni, I.; Mann, M. K.; Szewczyk, M. M.; Mirabi, B.; Ferreira de Freitas, R.; Owens, D. D. G.; Ackloo, S.; Scheremetjew, A.; Juarez-Ornelas, K. A.; Sanichar, R.; Baker, R. J.; Dank, C.; Brown, P. J.; Barsyte-Lovejoy, D.; Santhakumar, V.; Schapira, M.; Lautens, M.; Arrowsmith, C. H. J. Med. Chem. 2023, 66, 10273-10288.
-

Nemacol is a small molecule inhibitor of C. elegans vesicular acetylcholine transporter with anthelmintic potential
Harrington, S.; Pyche, J.; Burns, A.R.; Spalholz, T.; Ryan, K. T.; Baker, R. J.; Ching, J.; Rufener, L.; Lautens, M.; Kulke, D.; Vernudachi, A.; Zamanian, M.; Deuther-Conrad, W.; Brust, P.; Roy, P. J. Nat. Commun. 2023, 14, 1816.
-

Selective Control of Parasitic Nematodes Using Bioactivated Nematicides
Burns, A. R.; Baker, R. J.; Kitner, M.; Castelli, J. M. P.; Volpatti, J. R.; Vaidya, A. S.; Puumala, E.; Palmeira, B. M.; Redman, E. M.; Snider, J.; Marwah, S.; Chung, S. W.; MacDonald, M. H.; Tiefenbach, J.; Hu, C.; Xiao, Q.; Finney, C. A. M.; Krause, H. M.; MacParland, S. A.; Stagljar, I.; Gilleard, J. S.; Cowen, L. E.; Meyer, S. L.; Cutler, S. R.; Dowling, J. J.; Lautens, M.; Zasada, I.; Roy, R. J. Nature 2023, 618, 102-109.
-

Toward Improving the Selectivity of Organic Halide Electrocarboxylation with Mechanistically Informed Solvent Selection
Corbin, N.; Junor, G.; Ton, T. N.; Baker, R. J.; Manthiram, K. J. Am. Chem. Soc. 2023, 145, 1740-1748.
2022
-

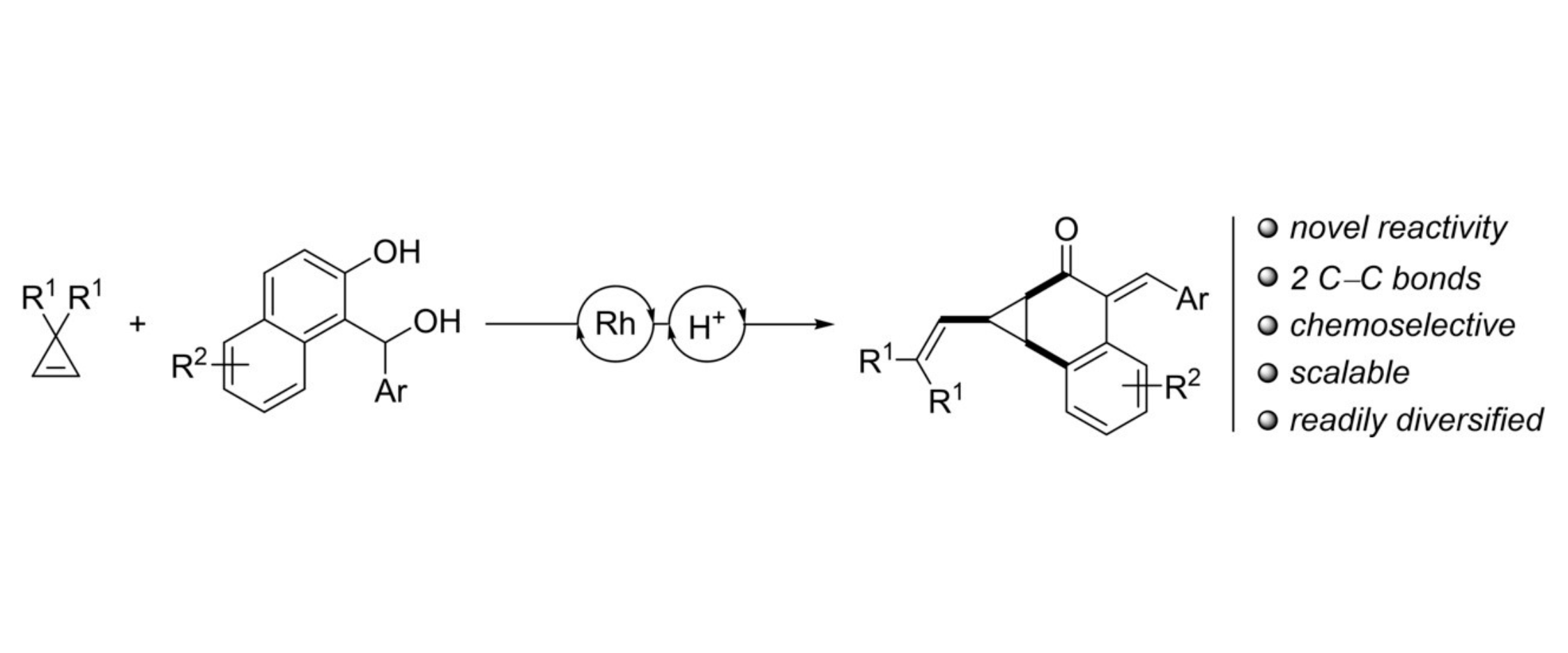
Dearomative Cyclopropanation of Naphthols via Cyclopropene Ring-Opening
Baker, R. J.; Ching, J.; Hou, T. R.; Franzoni, I.; Lautens, M. Angew. Chem. Int. Ed. 2022, 61, e202116171.
2020
-

Rhodium-Catalyzed Intermolecular Cyclopropanation of Benzofurans, Indoles, and Alkenes via Cyclopropene Ring Opening
Ross, R. J.; Jeyaseelan, R.; Lautens, M. Org. Lett. 2020, 22, 4838–4843.
-

Enantio- and Diastereoselective Conjugate Borylation/Mannich Cyclization
Larin, E. M.; Loup, J.; Polishchuk, I.; Ross, R. J.; Whyte, A.; Lautens, M. Chem. Sci. 2020, 11, 5716-5723.
2018
-

Palladium-Catalyzed Arylation/Heteroarylation of Indoles: Access to 2,3- Functionalized Indolines
Zeidan, N.; Beisel, T.; Ross, R.; Lautens, M. Org. Lett. 2018, 20, 7332-7335.
2017
-

Imidazolium-based Polyionic Liquid Absorbents for Bioproduct Recovery
Bacon, S. L.; Ross, R. J.; Daugulis, A. J.; Parent, J. S. Green Chem. 2017, 19, 5203-5213.
2016
-

Functional Group Tolerance of AOTEMPO-mediated Peroxide Cure Chemistry
Molloy, B. M.; Johnson, K.; Ross, R. J.; Parent, J. S. Polymer 2016, 99, 598-604.
-

In-fiber Mach-Zehnder Interferometer for Gas Refractive Index Measurements Based on a Hollow-core Photonic Crystal Fiber
Andrews, N. L. P.; Ross, R.; Munzke, D.; van Hoorn, C.; Brzezinski, A.; Barnes, J. A.; Reich, O.; Loock, H-P. Opt. Express 2016, 24, 14086-14099.

